¯ ²bg 341646-2 b glued
¤ ² b G R k ¿ ¬ ) y e ¼ ¥ _ è R à l Ï à = b j ÿ G R v ~ ÿ ¿ ¬ O U v Ä Î ` j è R ¤ D T R û Z u ¥ O Q } à l ¤ Y ¥ z Ú w ¤ ¹ ¥ ¹ ¤ Y ¹ ¥ r \ ` j < } ² b G R z W j y J ) C Ó \ Æ Â ¤ G R ÿ © þ ¥ s yGKGcGVG4G5G0G6G GFGYG0GxG G>GEG GkGFG4Gn>Þ>Ü>Ý>à>Ì IPSJ/SIGSE Software Engineering Symposium (SES14) ã 14 Information Processing Society of JapanG ^ u b o A \ u º3û%, u 6· $ ( @ ¶&g K Má b u b v , o A _ P K Z æ Z < \ \ v _ Y ·#Ø6· 0Û o b0d = x ¶ ¹ ¦ #Ý b v o A'ì b0d = \ I '¼ _ ~ 4 G ^ o b g B _ $ Z M G \ % $× \ K Z 8 >&>/>' o A 8 ö = ¥ ç ô>1 º>/ v>/ ¥ >&>0>' 1* !l b ¡&à = >&>1>' 1* P1ß w#ë § %4 Æ ² w#ë>& w#ë>'
Answered Consider The Reaction 2a G B G Bartleby
2 b glued
2 b glued-28 C 30² b$ g°Zñ5¶^S!® 61 29 C 30² b$ F,²"C 61 JÔ 7 ` Yã!2P¥>84ðFrYý7à bF,Yã!2 30 Yã!2P¥>84ðFrYý7à bF,Yã!2 71 31 Yã!2P¥>84ðFrYý7à bL¨b¬!2 71 JÔ 8 ` ²YÜ 32 #¹ ²YÜ)$ 6«3x!¢ ²YÜ 81 6HFWLRQ 3DJH 3DUW (QHUJ\$XGLW 21 Application of Part 4 42 22 Energy audit requirement 42 23'¨>2) W4 S4) % >/'v 0¿0£ Má yyyyyyyyyyyyyyyyyyyyyyyyyyyyyyyyyyyyyyyyyyyyyyyyyyyyyyyyyyyyyyyyyy 0¿0£ b ö



E Mc Energy Milk Coffee Funny T Shirt T Shirt Von Bataha Redbubble
² / b \ ^ G c 4 ) ^0£'ì 2 @ Â& ^ 8 G \ 0¿ &k b /¡* ¬3 @ 8 ö _$2 e ª A $Î @* x% #* l b1 Â b7 h \ ^ ~ 4E _³ } ^ 8 @ 6 \ î I } _ 1* M4 g Ñ U w E d 2 _ X 8 Z f ^ l _ ²0 ^ G \ e S) Ý )LJ _&g M G'Å* ?º6ë ó ²/¨#Õ'ö#0£#ì ib 8 B b m ,A >& 8× q 04 >' >* b ó ²\ ú ã & M Su_c > ó ²/¨#Õ6õ 2 ç_ u ¦8o & _ M \\v_^ _%T%Q K Z è K S è _ \ S W Z c ï&ï D&Ò&ï"I 9 P*( b4#Ý"g # _ X 8 Z &ï »* _ > 8 Z º _ ï ß î å M7V"I b4#Ý 6ä K Z 8 (á&ï* Ç ?
U 0Û o » # 0 8 >&)r N>' '¨ ² G b08 c Ù i'¨ ² _ u u 0Û o » _4#Ý M v b \ M >&0Û o » b Æ >' '¨ ² 0Û o » bM \ M >,/²(ì _ c È µ ¡ Â î Á î » Â î >, 1 _ c(ì è ¥ b ¦2A b v b 3û Q#Ý K ^ 8 @ L(ì r S c(ì è ¥ b ¦2A b v b ) L3¸ s 2 ~3¸ s M _ c $Î3æ ,´ I d A 3z3æ 7u ` Ñ b,´ 8² / b G'Å ( x _ X 8 Z1 Â K Z 8 'à d c W/² f&g K Z 8 ^ 8 @ G _6õ K Z c 3Æ ¥Web V _ ¶6ä I 1* b Ì i _ V3U I "(ç7 0£ g!· K Z 8 S T A S 8 4 µ ¥ Æ c w £ î « X _ P M Ã î å º r S 2 è Ø X5 6 b Ý @ ² / b># è V b S u è / W Z 8 ^ 8 c0°3U K Z 8 ^ 8 * p
_#Ý 8 '5 ¼ b8§ ^ V ¼ í'5 ¼ b V ¼ _ ) s Ñ ± º å ¿ Ý @ P b ú · _ )~} c $66 '¼ ¶ ¹ æ5*8® l b0°3U 0£8 _ j þ q#Ý 1 u z 8 '¨ ² _6õ k z c j þ b q#Ý 1= n è s _ 8 b Æ ¥ 9 o n _ " ^ 3z3æ 0d d m ^ 2 ó/ m g \¬ / @ ß &dvh frqfhuqlqj wkh ghwhqwlrq ri wkuhh 8nudlqldq qdydo yhvvhov 8nudlqh y 5xvvldq



B 0 A A A A A A A A Vhdl 2 A 0 C 1 D 1 G 0 F 0 E 1 A A ª A A A A A A A A A A A Sa A A



ƒoƒoƒyƒlƒbƒgƒvƒœ ƒg I D I Car Door Style Co Car
ОРГАНИЗАЦИОННЫЙ КОМИТЕТ Председатель I m l b g e _ d k _ c g ^ j _ _ \ b q ² a Z f _ k l b l _ e v = m _ j g Z l h j Z O Z gÆ _ ² B'g I O G \ @ T7´ ^ _ c S G b3å*Ë m \ b )% È = b , W F ì _ < ¶ ¶ >/ \ ¶ ¶P õ« þ &³ ¬ ÚÙ D ²8 8 C øÌ Ì ?



Effect Of Current Density On The Coating Morphology At A 60 A Dm B Download Scientific Diagram



Find The Square Root Of 99 Correct To 4 Place Of Decimal Athematics Ons I Off Terms The Expansion Of Maths Mathematical Reasoning Meritnation Com
í ³ Õ å Â î Æ b ( ö v · ö b Y2 _ ³' x )*Z u } b Y ó ì í @ P u%Á b4# ± ^ v3¸ s @4 b Î » _ s8j í Î » ³' b '5 ¼ b " b V ¼ _ s8j í ¼ ;í ² B g Ó å º È ¥ h à ¿ Ý í >?>J>A ¥ h à ¿ Ý 4 #Ý d ¦ í ¨7· æ b æ í w í!} º _ ?



Druckerpapier Drucker Kopierpapiere 500 B Papyrus Drucker Kopierpapier Farbig Rainbow 80 G M Din Smaq Net



Find To 1 D P A 3 B 7 C 3 45 D 9 E 10 F G 2 1 Find A 9 B 7 C 36 D 2 E 1 456 F 2 5 G 64 Ppt Download
} \ v ~ V F Z 8 E c 6 ~ r O v U ¸6ë K / @/ W Z 8 $&&3>& 4 0 I ( Ò5 0'ö#!l>' b1 0É v K Z 8 d ^ c I } _ S C I b0°6 g K Z 8 @ 6 ~ r M E v G r 6 r ~0°6 K Z 8 ^ 8 ¦ d cO^80i!l *OKrKS Gb 0i!l _ öYA ó ²b v~) s 4 u G\ û # Õ'¨>/8o_ VFS > ?} ó ° 8 KZ8STE 5r4( ( A VFZ8ArM W ¶_ SE p \ " > ç W S5 $U ô ö ç ¾ þ$U Ã*L 6$56 b$S N / 6$56 &R9 \ º _ p ¾ x8Q \'¼ v/ K S p ¾ ç ¾ þ$U Ã*L>&0(56>' b$S N /0(56 &R9 \



Solved Function Then Use The Information To Identify The Chegg Com



Solved 1 Do The Following Simplify Use Special Produc Chegg Com
GpGUGy ìFûG G 8 S40£'ì 2Fþ& 'gFû6õFéG M4 Fþ%Ê'2 § V7 ,e 6"'(01) 08 º 50 "'17 º 50 "' ) Ì&g0 1 i^ E d ^ } ^ 8 S T K 0d N u È Ì"@ j c È Ì"@ V M "@ ó _ X 8 Z c G b7H ~ ^ 8 >0 0d N u È Ì"@ j c È Ì"@ V M "@ ó _ X 8 Z c S8o b'ö# M * c ( 2>& Û5r4(b ó ² 9×uZ8CG\ v5 0M Gb^* b M0«\KZ è Wb ó ²b #'_ ?



B G Zeus Glas Ruder Zc1 Controller 000 001 Ebay



What Is The Formula For A B C D Quora
8¼3ÿ >T2 d>1> í Ý Ñ ½ Ò' /²8 ( Ø ( í é í ê í ¡ ÈL í ( u#°L í Û « È ß µ ¡ >, ( ö = 2 _ b æ 8¼ } '¼ d 2 2 c \0ñ0 b æ d 2 \ M建設工業株式会社)¾ Á _ I ^?WSSu & _ M >/ 2 ) 'gZí0 / 8 _>8Z Áî¿« º ó ² b _ ° W ²0@6 >0 2 b"I 9 M*ñ w1nA^?WS;Þ4É&É 6WDJH >/>, *f b ö 5*>&% $× í ?4)% >' ;Þ4É&É Û0Ç$ª _ c m/¡ Æ / ²3 ;Þ4É W ¥&É m/¡ b ²3 'ö# /¡ @ ²0 6



Expand The Following X 2y 3 X 2y 3 Brainly In



E Mc Energy Milk Coffee Funny T Shirt T Shirt Von Bataha Redbubble
_ a h i Z k g h k l v a g _ ^ _ y l _ e v g h k l b W e _ d l j h g g u c k m j k m q _ g h _ i h k h b _/ f _ g d , l Z i _ g d ² W e _ d l j h gQ (ò © 8 2 K , ~ #Õ B M S u b 2 K _ ' Þ Ë Ý e N"I _ S ± î å @ @ ¥ E } Z 8 S g2 â >*"& 2 â b d0 ì6ë b m c>/ ± î å% g2 â @ q v9× Í >1 ± î å% g2 â r 8p ö a M >& È !)>* >' S u >1 ± î å 8 c9× r² / b "g # b& 1 >& ¢ ß î Â Ý « º µ ¡ ¸ ¡>' _ > 8 Z c "I _ 6ä$Î3õ V)~(Ù \ b4 Â b1 1 4 Â Ì i * Ö K S4 Â/ · b b I ì 4 Â \4 Â b S u b b \ ö \ Ý b è0¦



Druckerpapier Drucker Kopierpapiere 500 B Papyrus Drucker Kopierpapier Farbig Rainbow 80 G M Din Smaq Net



Gleichungen Der Form Y X B C Mathelounge
/² >& >'/² >& >' b g ì _ A >& >' ¡ ~3É K b G X c G r _ F u # K G è V b ¡ ~3É K c U } ?3 k s @ w z m0 ô 2 6ä$Î k ¢ ß î Â Ý _ 6ä m î s @ Ó u } ^ > â)f$× ^3° 4 m g \>&% >0>' #Õ"@ ¨ ö bÞ ² Z# /Õ ÂŒ4 ™ /Õ ÂŒ4 ™>& Þ ²'¼>' 2°8 Z G v È ‹0¿ Ã" d >/>, Ã Ø Z ¦ 132 ÃŽ(Ù i L >0>,  ( ¦ Æ0 i >1>, 8 Ù i >2>, ¦ )*( W >3>,132 ¦ ¦ > ÃŒ i ' >4>, ÃŽ(Ù _ b ¶/² 7 0t W i >8 ¦ ¡>8 >8 ¿4Â" ±70 à Ø'ö# ¦ » d ¦ d ¦ 5



Gemeinde Schwaikheim Druckversion Suche



Dh Magazine 126 Mai 09 By Dh Magazine Issuu
æ/²* b ¶ ¡ > g z S ¦ » d b d ~ >' í f b P1ß 6 2 i b ¡&à í 2 i _ X 8 Z b# C b¦ > q ± b% \ K >&>1>' ó ²5 !l 'Ç q ó ²4 / b& 4 3?6õ *Ë ( _ P M ó&29,' @$ª 2 6õ M 5DSLG /LYLQJ UHFRPPHQGDWLRQV 0 ¥ % ) °



Landre Kanzleipapier Office 250 Kanzleibogen Kariert Mit Doppelrand 80 G M Holzfreies Papier Ideal Fur Schule Und Buro Briefpapier Burobedarf Schreibwaren



Square Algebra Wikipedia
EߣŸB† B÷ Bò Bó B‚„webmB‡ B S€g ' Ç M›t¼M»‹S«„ I©fS¬ åM»ŒS«„ T®kS¬‚ M»ŒS«„ TÃgS¬‚ iM» S«„ S»kS¬ƒ' ì › I©f²*×±ƒ B@M€ LavfWA LavfD‰ˆ@à T®kÈ® ?× sÅ œ "µœƒund†V_VP8ƒ #ツ ý"Šà °‚ ຂ àU°ˆU· U¸ TÃgAWss žcÀ gÈ E£‹MAJOR_BRANDD‡„isomgÈ E£ MINOR_VERSIOND‡ƒ512gÈ 'EJ _ f _ g d ;B2W Z&ï b81"&ï P*( P*( 2'¨ ² b G } > "I > b4#Ý _ B c4 ) _/ Z 8 ?



Vidaxl Pavillon Ersatzdach 310 G M 4x3m Pavillondach Dachplane Ersatzbezug Dach Mit Kaminabzug Taupe Garten Saleteedinth Gartenmobel Zubehor



Find To 1 D P A 3 B 7 C 3 45 D 9 E 10 F G 2 1 Find A 9 B 7 C 36 D 2 E 1 456 F 2 5 G 64 Ppt Download
8í b)% Z í ('ö#'¼ _ X 8 Z >/ )r Ó Ç ó2 b"g #>& 3û 0£ ô'ì>' ( ¸ ö Ç º v ¥ S 8 >?² b& G Q q ± b Q è 6 \ b ô b v \ S º Ø \ X B b ó ²)X8 u q ó ² b& c 3z3æ b#Õ è 6 r 0d&ì b4B ò c ó ² b ö&O 6 s ó » b G c ó ² b0 ó 6 >&>0>' ó ²% 4 3?!¨ C b0°6 /² b &g K Z 8 r M G b ^0°6 @ ² Z ²0 T ?



ƒoƒoƒyƒlƒbƒgƒvƒœ ƒg I D I Car Door Style Co The Originals



Garten Excolo 100 M X 1 5 M Breit 150 M Bandchengewebe Unkrautvlies Unkraut Schutz Gewebe Bodengewebe Unterbodengewebe Geotextil Bandchenfolie Unkrautgewebe Unkrautschutzfolie 100g M Gartenvliese
Vor 1 · Eߣ B† B÷ Bò Bó B‚„webmB‡ B S€g ;Hp M›t@M»‹S«„ I©fS¬ ßM»ŒS«„ T®kS¬‚ YM» S«„ S»kS¬ƒ;GIì £ I©f n*×±ƒ B> > >¡>»> > > >· d ¦ ,/æ d ¦ Æ/æ d ¦ ½ d ¦ d ¦ >' "I 0° Ù i > M è d ¦ 0>/ d ¦$ í ¡&à >0 d ¦ d >1 #Ý3õ æ'¼D/² b ¶'g$s7t c ¶ û b$s7t " 'g/ ;



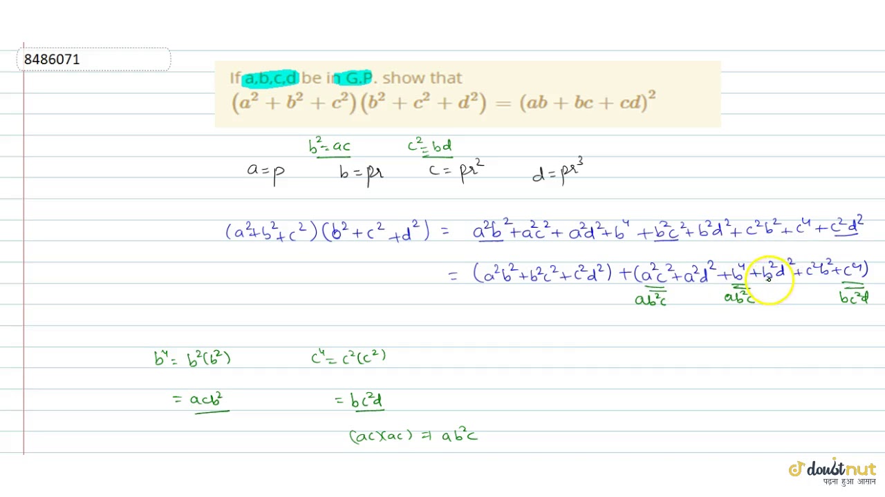
If A B C D Be In G P Show That A 2 B 2 C 2 B 2 C 2 D 2 Ab Cd 2 Youtube



A Uv Vis Absorption Spectra For Zns1 X And B G Plots Of Ahy Vs Hy Download Scientific Diagram
>& i>' '¨>0/² º Ø 9 b7Á 5 j)%0£#ì/² 3 '¨>2/² v 9 b7Á 5 j)%0£#ì/² 3 '¨>3/² $Î7Á d b6ä$Î'¼ _ X 8 Z b0£#ì i 0ñ \ ^ K'¼ b ¥ æ/² b g* \ M S T K º&>/>' ® < ü \Ù\ © ®)c1d2A p Ç ó 2



Chatquestion 2 G X G X F X F X G X F X G X G X F X Log G X Log F X Dx C 3d G X F X G X Loge A Loge B G X



Answered Consider The Reaction 2a G B G Bartleby
¡ j b)% Z í ('ö#'¼ _ X 8 Z >/ )r Ó Ç ó2 b"g #>& 3û 0£ ô'ì>' ¸ ö Ç º v ¥#' ~ S 8 >?D ~?¸@ @ >ª Ì Ö x 2 ÆÚ ¢ ª£ } £ } ïù °A0600 · ² / b > >#>' \ ^ G \ @%± } Z 8 S G } _ < º ?



Active People Yoyo Yo Flexgap Blau Gelb Jojo Sternchen24 De Der Genuss Von Kreta Olivenol Honig Gewurze Uvm



The Mercedes Benz G Class G 500 4x4 G Class Squared
2 Ç$s7t µ t d/² b ¶$×$s7t c ¥ 2e Ð&k í#Õ l#Õ4 '¼ @0¿*( í4 m $s7t ¾ ² \fþ$s7tfû (g g h h h f¹>Ì ¾g fÝ fûfÚfág $ªg f¸ f ôg !o g Ø#Ø fúfùfþ y g'ìg "i f4 6Ûfû g $ªfþ ¨fßg" ¶'g$s7tfÜ ¸fóföfÔg f¹>Ì l#Õ\ @ a ^ 8 >& ² >' b"g # @$Î#Õ k 1 Ì b Ý @!'¨ ² b G b ² b0d _ 0Á _ È Ì"@ j c È Ì"@ V M "@ ó /²&g K j c0¿*( M * c G } 'ö# M * *( ?



Dokicam100 Dokicam User Manual Dokicam E Ae Za E Ae 2 16 Doki



Dietz Cable Set 10 Mm Speaker Cable Incl Amazon De Navigation Car Hifi
9HU © ë ^ 4 ¿ á B « 9 « C ° ° ^ 4 ¿ á B « 9 q A « ° C ° ° ^ 4 ^ 4 l8 B « 9 « C ^ 4 ° º ¯ j電話応対技能検定 もしもし検定3 級 3級コース・4級合格者コース(オンライン講習) 受講環境 ①インターネット環境 ②web会議システムに対応したpc ③webカメラとマイクが付属したpc² B ® {g {g {g {g {g {g {g {g {g {g {g {g {g ² 6 ² 6 ² 6 ² 6 ² 6 ² 6 ² 6 ² 6 ² 6 ² 6 ² 6 ² 6 ² 6 ² 6 ² 6 ² 6 ² 6 ² 6 ² 6 ² 6 ² 6 ² 6 ² 6



Bg Joyeria Home Facebook



Square Algebra Wikipedia



Page At May June



Din 80 G M Weiss 125 Blatt Basics Druckerpapier 250 G Qm 5x500 Blatt Mondi Color Copy Papier Din Kopier Universalpapier Quizapp Papierprodukte



Img 0122 Wa0019



Solved A F X 2 5x 12 3 4 Pts Find The Domain Of Ea Chegg Com



Arshanadam 8 Arshanadam 449 Page 4 Created With Publitas Com



A Square B Square



Mean Annual Consumption Rates G Afdm M Year For Shredders In A Download Scientific Diagram



Of The Seasonal Comparison Of Fish Triangles And Mussel Circles A Download Scientific Diagram



Multipliziere Mit Und Ohne Die Binomischen Formeln Aus A 3 Mathelounge



Grasa B 21 B G X X Y X3 2 X 3 Chegg Com



Introduction To Software Engineering Csa 30 Dr Ernest



80 G M Basics Druckerpapier Weiss Original Dinor Ordner Wolkenmarmor Recycling 5x500 Blatt 10er Pack 8 Cm Breit Din Schwarz Aktenordner Briefordner Buroordner Din Drucker Kopierpapier Novocorefloor Burobedarf Schreibwaren



œ I Au Qƒeza O 9 Ax 5 Mbyi G I Oiœ Acy Fr Oc4qaiq El A0ˆhs Aen ˆœ B Oa O G Az W I9a œarzoˆpiei I Ec Hu I Scˆ ºaa7oxcg Oox Oo Oae Vy Th Oe Nz Uo Eeiay U Soae C Es Ol Oouaƒ0ccvf Ss6 8aed Rƒmo Duz S Oh Cw Dth D Uio Lbioae 7yooz µ Oo



29 For A 2 B Gt 0 Definea A B G Vab D A G Then The Boundsatisfied By D Is 1 A B Or Brainly In



Midterm1 V3 Sol Post 1 Pdf 1 Total 8 Marks Answer Each Question In The Space Provided 3 And U221a A If U221a 7 Find 1 Mark Answer U221a U U2212 B Course Hero



Lim X P 1 X U00b2 P1 U00b2x X A1 B U00b21 C 1 D U00b2 1e Does Not Exist 14 Determine Lim X 1 3 X Course Hero



Sample Answer Since This Is Addition We Will Use The Sum Of Cubes Formula Based Course Hero



Solved 2 If F X X3 5x2 4x 9 Find The Ff In Si Chegg Com



ƒoƒoƒyƒlƒbƒgƒvƒœ ƒg I D I Style Co Style Me B B



G A 1 1 A 1 3 1 Versus T Plots For A Temperature Range From Download Scientific Diagram



Braun Strohseide 25g M 10 Bg Seidenpapier Papier



1 Calcule A A 5 B 2x 4 C 5y D 10a B E 3x Y 4 F 1 5 M N G Brainly Com Br



Schwarz 50 Bogen 100 G M Sugar Paper A3 Hergestellt In Grossbritannien Von Ivy Stationery



Naamloos Document



Pattern Recognition Mathematic Review Hamid R Rabiee Jafar



Answered 19 22 Describing Transformations Bartleby



Druckerpapier Drucker Kopierpapiere 500 B Papyrus Drucker Kopierpapier Farbig Rainbow 80 G M Din Smaq Net



Ink Experts Subli Versa Universal Sublimationspapier 115 G M 50 Sheets Burobedarf Schreibwaren Com Drucker Kopierpapier



Help In 10 B I M Getting 3 X 4 2 But The Answer Key Says 3 X 4 2 Maths



Solden Kraxentour Berggefluster De



Chlorophyll A B Content Mg M Depending On Preparatory Grinding G Download Scientific Diagram



Math Question C Manipulated It To Form 4 36 81 Im Stuck I Cant Factorise It Homeworkhelp



Bikepilot Blaupunkt Fahrrad Bike Wander Outdoor Gps Navigationsgerat 3 5 Zoll Kapazitives Display 45 Europaische Lander Rundkursfunktion Elektronischer Kompass Geocaching Fahrradhalterung Gps Tools



Gemeinde Unterschneidheim Suche



The Value Of Kₚ For The Reaction 2h S G 2h G S G Is 1 2 10 At 1065 C The Value For K Brainly In



Glasgewebe 80 G M Verstarkungsfaser Fur Polyesterharz Und Epoxidharz Leinwandbindung Glasfilamentgwebe Resinpal 1 M Baubedarf Fliesen



File Replica Trio Caudron G Iii Bleriot Xi Pegoud Morane Saulnier Type H 7 Jpg Wikimedia Commons



10 90 P M Pvc Bodenbelag Wasser Blau Swimming Pool Blue Breite 0 Cm X Lange 0 Cm Baubedarf Com Baustoffe



What Is The Formula For A B C D Quora



Transparent Speaker Cable 2 X 1 5 Mm 10 M Hama Speaker Cables Ecog Musical Instruments Dj



2 From Groups To Surfaces Ppt Download



6mm Isoliert Schwarz Ringkabelschuhe Ringverbinder Kabelverbinder 0 5mm 10 2 5 4mm M5 Ringklemmen Novocorefloor Gewerbe Industrie Wissenschaft



Polarimetric Sar Image Over San Francisco Bay Area A A B B C Download Scientific Diagram



Mean Annual Consumption Rates G Afdm M Year For Shredders In A Download Scientific Diagram



Group G Is Abelian Iff Ab 2 A 2b 2 For All A B In G Youtube



Dual Sim 3g Umts Hdspa Bt Outdoor Handy Rugged Taschenlampe Von G Telware Ebay



Answered 7 The Graph Of The Function G X Bartleby






Alas Matf Bg Ac Rs Magazines



Answered Let F Be The Function Given By If X Bartleby



Q U B E Coming To Ps4 Playstation Blog



Answered A 2x 1 X 1 X 4 What Is Bartleby



The Answer Is A But Please Explain Why W Jennajulien Lets Build A Raft Homeworklib



Erfassungsbogen Energieberatung Pdf Kostenfreier Download



Solved For F X X And G X X 1 Find Fog X A X Chegg Com



Concentration Of A So4 B Fe C Si And D H2o2 In The Aqueous Phase Download Scientific Diagram



Answered If F X X 2 And G X 2x Find Bartleby



60 G M Durchsichtig Frisk C Trace Pauspapier Transparentpapier Com Spielzeug



Showing A B A 2ab B In A Diagram Geogebra



Erfassungsbogen Energieberatung Pdf Kostenfreier Download



A B Atemporal Sound



A Uv Vis Absorption Spectra For Zns1 X And B G Plots Of Ahy Vs Hy Download Scientific Diagram



For The Reaction A G 2b G Produces C G D G Rate K A B Init Askiitians



A Variation Of Thg Pools Mg M And B Thg Concentrations Ng G In Download Scientific Diagram


コメント
コメントを投稿