上 NX}XP[L fR[V Vs 180544
Variance Wikipedia
NX}XP[L fR[V" Vs
NX}XP[L fR[V" Vs-


Page 4 Q Xx High Resolution Stock Photography And Images Alamy


Kume S Et Al 1993 The Xenopus Ip3 Receptor Structure Function Paper


Golden State Warriors The Official Site Of The Golden State Warriors


Edae High Resolution Stock Photography And Images Alamy


Pin On Fun Facts


Dr Mia Bloom I Quite Seriously Considered Circulating This To The Gsucommdept List But Realized They Might Not Understand That It Was A Joke Given The Sheer Amount Of


Product Rule Wikipedia


The 44 Phonemes In English


Rigid Body Dynamics F P H G Ppt Download


Product Rule Wikipedia


Geometric Series Wikipedia


Matrix Mathematics Wikipedia


3 2 Probability Mass Functions Pmfs And Cumulative Distribution Functions Cdfs For Discrete Random Variables Statistics Libretexts


Geometric Series Wikipedia


What S Your Leprechaun Name A Fun St Patrick S Day Activity For Childen The Learning Station St Patrick Day Activities St Patrick S Day Games Leprechaun Names


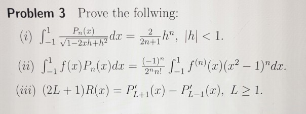
Solved 2n 1 Problem 3 Prove The Follwing I S 1 V Zech Chegg Com


The Fundamental Theorem Of Calculus And Accumulation Functions Video Khan Academy


Ppt Section 9 Functions And Transformations Of Random Variables Powerpoint Presentation Id


Control Charts For Monitoring Accumulating Adverse Event Count Frequencies From Single And Multiple Blinded Trials Gould 16 Statistics In Medicine Wiley Online Library


Basic Probability Theory And Statistics By Parag Radke Towards Data Science


Characterization Of Sams Genes Of Amoeba Proteus And The Endosymbiotic X Bacteria


Time Evolution Conservation Theorems And Parity 6 1 Time Development Of State Funtions 1 The Discrete Case I At T 0 Ps X 0 Ps X T E Iˆhtℏps X 0 Time Evolution Operator Ii For An Energy Eigenstate Fn ˆhfn Enfn E Iˆhtℏfn 1 Iˆhtℏ ˆh2t22 ℏ2


Ppt Section 9 Functions And Transformations Of Random Variables Powerpoint Presentation Id 5492


Polynomial Wikipedia


Taylor Series From Wolfram Mathworld


Chi Square Distribution Introduction Video Khan Academy


Creative Therapy Consultants Reference List Facebook


Variance Wikipedia


Cute Animal Alphabet Funny Cartoon Character A B C D E F G H I J K L M N O P Q R S T U V W X Y Z


Variance Wikipedia


Register Of Changes Of Names During The War By Deed Poll And Enrolment As Announced In The London Gazette A J W A A O C Ja W A


The Iphone X Vs Iphone 7 Which One Should You Choose Swappie


Comparative Analysis Of The Genetic Variability Within The Q Type C2h2 Zinc Finger Transcription Factors In The Economically Important Cabbage Canola And Chinese Cabbage Genomes Abstract Europe Pmc


10 18 If X Is A Standard Normal Random Variable N Chegg Com


Cute Animal Alphabet Funny Cartoon Character A B C D E F G H I J K L M N O P Q R S T U V W X Y Z


Page 4 Q Xx High Resolution Stock Photography And Images Alamy


Continuous Uniform Distribution Wikipedia


Defenders And Challengers Of Endothelial Barrier Function Abstract Europe Pmc


Structural Evolution Of Disordered Lico 1 3 Fe 1 3 Mn 1 3 Po 4 In Lithium Batteries Uncovered Journal Of Materials Chemistry A Rsc Publishing Doi 10 1039 D0tac


Answered Ubspace Of V 8 Determine Whether The Bartleby


A Manual Of Operative Surgery 193witzel 175 384 775woelfler Prof 4 6 234wood Prof John 333 334 629 His Operation For Ectopia Vesicae 622 26 For Hypospadias 614wound See Operation


Xp 1 High Resolution Stock Photography And Images Alamy


Rigid Body Dynamics F P H G Ppt Download


Variance Wikipedia


Product Rule Wikipedia


Format Command Examples Options Switches And More


Isgs Tamms Quadrangle


语文a版四年级上册 家乡的桥 Ppt课件1下载 Word模板 爱问共享资料


Section Formula Internal Division External Division And Midpoint Formula


Hessian Matrix Wikipedia


Newfoundland Quarterly 1912 13 A Ic V A 1 B S J A V L K 1 F 9 I Its A


Rotational Kinematics Ppt Download




Spalding S Official Football Guide 1913 Jim Thorpe Stats 5 X 6 3 4 Fr At Amazon S Sports Collectibles Store


1 Vytah


Taylor Series Wikipedia


L Hopital S Rule Wikipedia


Development Of Kinase Catalyzed Biotinylation To Study Phosphoproteomics Semantic Scholar


练习 人才选拔大赛颁奖典礼执行方案下载 Word模板 爱问共享资料


Page 4 Q Xx High Resolution Stock Photography And Images Alamy


Variance Wikipedia


コメント
コメントを投稿